SLP Electric Actuator for Valve Slp100-1 Slp120-1 Slp250-1


SLP part-turn electric actuator is a kind of new independent model part-turn electric actuator products based on synthesizing the similar products. It applies to automatically control the butterfly valve, ball valve and plug valve etc. 90° turn valves. It can perform the local and remote operating for the controlled valve. It is widely used in such industries using pipeline as Petrolane, chemical industry, metallurgical industry,construction, municipal works, papermaking, fire power station.
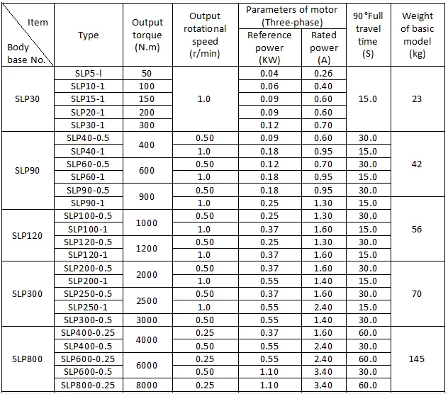
Notes: This sheet provides the related parameters of 380V three-phase motor only.The guaranty value of the ratio between the motor blocking current and the rated current is 7 an the rated voltage. The allowance is 20% of the guaranty value. When the operating product is single-phase, the parameters to the product documents and the shipping mark.
Notes: As to the fraction data, the numerator is under 6000N.m (Including 6000N.m) specification product; the denominator is 8000N.m specification product.
1.The outward appearance quality and perfect torque performance are noticed for applying to the concrete operating conditions of the electric valve in China.
2.The case of the housing can be casting iron and casting aluminum applying to the different users selection
It has a large scope of output rotational speed and self-locked for some types that can meet the needs of different pipeline controlling technique requirements.
3.Add the new body base to avoid the problem that the volume and the weight are too much when it is the smaller torque combined form product and the larger torque products used on the smaller torque.
4.Widen the controlling cavity properly to adapt the added electric components of the electric controlling passive contacts, the capacitor used for the single-phase motor and VOT used for the valve position feedback signal etc.
5.Add the interfaces of the auxiliary parts in the housing, that is convenient for deriving the Ex-proof model, the integration model and the integrated ex-proof model.
6.Develop the unit parts for the local changeover switch model, the integration model and the integrated Ex-proof model to improve the technical Ex-proof lever of the economic products to make the users select the products with the excellent performance, the fully functions and the reasonable price.
Shipment Term:
1. Orders processed timely after the payment verification .
2. Terms of Deliver: FOB / CFR / CIF / EXW etc.
3. Due to stock status and time differences , we will choose to ship your item from our first available warehouse for fast delivery .
Payment Term:
1. Accept T/T, D/A, D/P, L/C, West Union with 30% Deposit.
2. Advance payment should be made within 3 days of order .
Our company provides you with the following services free of charge:
1. All-round electric actuator and valve technology selection service
2. High-quality post-product maintenance and technical analysis services
3. Accept other related cooperation.
Send Inquiry to This Supplier
You May Also Like
-
Electric Actuator With Motor AS80 BS100 AS600US$ 600 - 1300MOQ: 1 Piece
-
Linear Actuator With Control and On/off Valve 361lsb-30 361lsb-50 361lsc-65US$ 600 - 1300MOQ: 1 Piece
-
SKJ-510 220v 90 Degree Rotary Valve Electric Actuator PriceUS$ 600 - 1300MOQ: 1 Piece
-
Feed Water Control Valve With Matching Flanges Linear Trun Actuator 361lxa-08 361lxa-20 361lxc-260US$ 600 - 1300MOQ: 1 Piece
-
Pressure Control Valves With Motorized Actuators 361lxc-160 361lxc-65 361lxc-99US$ 600 - 1300MOQ: 1 Piece
-
Steam Pressure Valve Electric Actuator 381lsa-08 381lsa-20 381lsb-30US$ 600 - 1300MOQ: 1 Piece
-
Chilled Water Control Valve / Water Flow Control Valve Actuator 381lsb-50 381lsc-08 381lsc-160US$ 600 - 1300MOQ: 1 Piece
-
Feed Water With Electric Control Valve Actuator 381lsc-20 381lsc-30 381lsc-50 381lsc-65 381lsc-99US$ 600 - 1300MOQ: 1 Piece
-
Electric Control Valve High Pressure Actuator 381lsc-260 381lxc-260 381lxc-160US$ 600 - 1300MOQ: 1 Piece
-
Globe Valve (regulator)with Motorized Actuator Dzb30-18 Dzb60-24 Dzb90-24US$ 600 - 1300MOQ: 1 Piece







